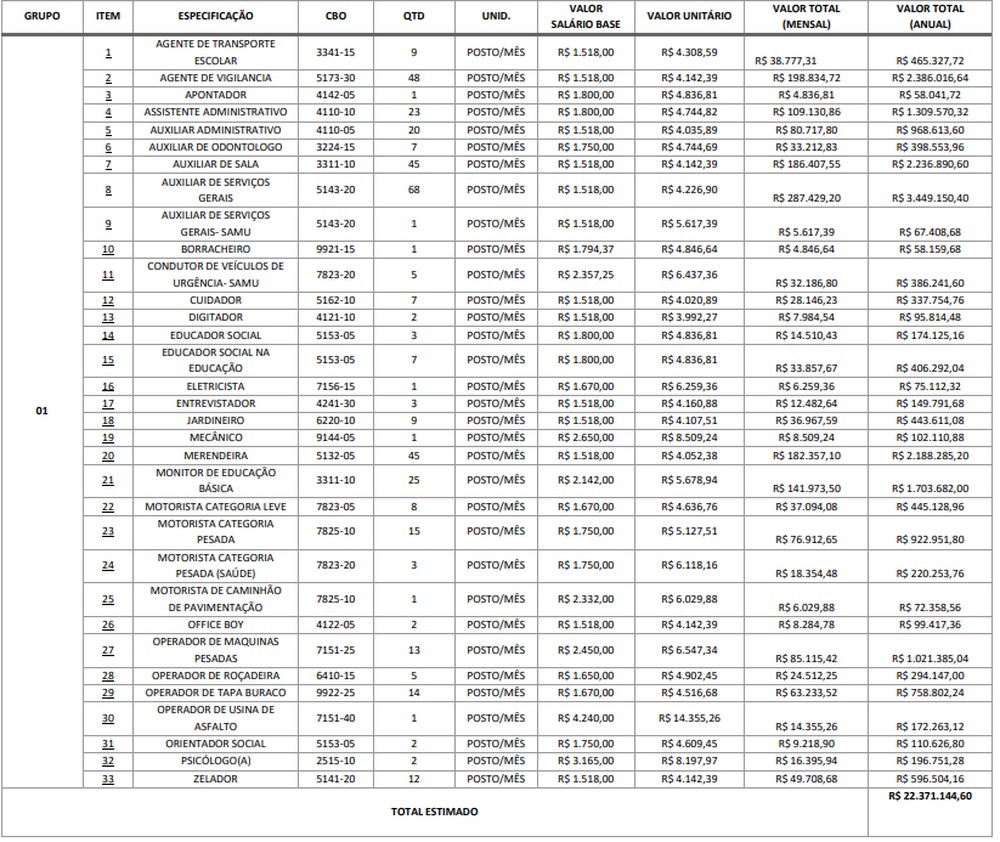
A Prefeitura de Guaraí lançou um processo licitatório para contratar uma empresa que ficará responsável pela prestação de serviços terceirizados em oito secretarias municipais. Ao todo, serão 409 profissionais distribuídos em 33 cargos, conforme lista prevista no edital. O investimento estimado é de R$ 22.371.144,60 por ano, em um contrato inicial de 12 meses que poderá ser prorrogado por até 10 anos.
A seleção da empresa será realizada por meio de pregão, com escolha baseada no menor preço global. O edital foi publicado no dia 6 de novembro, e as propostas podem ser enviadas até 25 de novembro.
Segundo a gestão municipal, os cargos a serem ocupados são de apoio administrativo, e a terceirização é considerada mais vantajosa diante da urgência para suprir demandas internas. A prefeitura argumenta que, ao contratar uma empresa terceirizada, o município reduz riscos e encargos administrativos, já que a responsabilidade trabalhista fica sob responsabilidade da contratada.
“A inexistência de vínculo empregatício direto entre os trabalhadores e a Administração Pública contribui para a racionalização da estrutura organizacional da Secretaria”, diz trecho do edital.
A administração municipal afirmou ainda que a medida é temporária, até que seja finalizado o concurso público já em andamento, que teve comissão instaurada.
“Não há falta de equipe nas repartições municipais. A contratação via empresa terceirizada tem caráter transitório, assegurando a continuidade e eficiência dos serviços públicos”, informou a gestão.
Embora o concurso represente uma solução definitiva para compor o quadro administrativo, o município destaca que a nomeação de servidores efetivos implica aumento permanente das despesas com pessoal, podendo comprometer os limites da Lei de Responsabilidade Fiscal e dificultar novos investimentos.
As contratações devem atender às seguintes secretarias:
- Administração e Planejamento
- Obras e Infraestrutura
- Agricultura, Meio Ambiente e Recursos Hídricos
- Esporte, Juventude e Turismo
- Mulher, Habitação e Regularização Fundiária
- Educação
- Saúde
- Assistência Social
Veja abaixo os cargos que devem ser tercerizados:

Íntegra da nota da Prefeitura de Guaraí
A Prefeitura de Guaraí esclarece que o pregão destinado à contratação de empresa responsável pela prestação de serviços terceirizados constitui medida legal, amplamente adotada na Administração Pública, e não representa aumento do quadro funcional. Trata-se da substituição temporária do modelo de contratação atualmente utilizado, assegurando continuidade dos serviços públicos, segurança jurídica e garantia de direitos trabalhistas até que seja concluído o Concurso Público Municipal.






























Respostas de 2
Great breakdown on lottery odds-really puts things into perspective. It’s fascinating how data-driven insights can demystify chance. For those looking to automate responses or optimize workflows, checking out an AI Response Generator could be a smart move.
I’m new to seubet but have been doing research! Seems like solid company. Give it a try!